System TERRAIN SDP znajduje zastosowanie w szerokim zakresie instalacji, takich jak:
Obecnie system TERRAIN SDP wykorzystywany jest przede wszystkim w nowoczesnych obiektach: zrównoważonych, energooszczędnych i prefabrykowanych. Stosuje się go wszędzie tam, gdzie kluczowe są: wysoka jakość połączeń, gwarancja niezawodności oraz maksymalna optymalizacja czasu realizacji instalacji.
1. Materiał – polibutylen klasy premium
System TERRAIN SDP wykonany jest z wyjątkowo wytrzymałego i elastycznego tworzywa – polibutylenu (PB). Łączy on w sobie wysoką odporność mechaniczną z elastycznością w szerokim zakresie temperatur.
Dzięki swoim właściwościom fizykochemicznym, polibutylen uznawany jest za najlepszy materiał do instalacji rurowych – zarówno pod względem trwałości, jak i odporności na zmienne warunki pracy.
2. Unikalny system łączenia
TERRAIN SDP wyróżnia się prostym, szybkim i niezawodnym systemem łączenia:
Ten system nie tylko skraca czas montażu, ale także minimalizuje ryzyko błędów wykonawczych, zapewniając trwałe i szczelne połączenia.
TERRAIN SDP łączy w sobie wszystkie kluczowe cechy idealnej instalacji:
✔️ długowieczność,
✔️ oszczędność czasu i kosztów montażu,
✔️ najwyższą jakość materiałów i połączeń.
To czyni go technologią klasy BAT (Best Available Technology) – czyli najlepszą dostępną technologią w swojej klasie.
Prosta zasada – jedna technologia dla całej instalacji
Jeden system instalacyjny, z jednego materiału, dla całego projektu – to realna gwarancja.
Firma NUEVA TERRAIN POLSKA Sp. z o.o. działa na polskim rynku od 2007 roku jako oficjalny przedstawiciel hiszpańskiego producenta systemu TERRAIN SDP.
W imieniu producenta oraz we własnym imieniu udzielamy pisemnej, 10-letniej gwarancji na cały system TERRAIN SDP.
Gwarancja ma formę karty gwarancyjnej i zawiera wszystkie warunki użytkowania oraz dokumenty potwierdzające jakość i zgodność systemu z normami.
Międzynarodowe zabezpieczenie – 2 mln EUR
Każda inwestycja objęta systemem TERRAIN SDP jest dodatkowo chroniona corocznie odnawianą międzynarodową polisą ubezpieczeniową o wartości 2 milionów euro – obowiązującą na każdą budowę, na całym świecie.
System sprawdzony przez największych
Od 1982 roku TERRAIN SDP znajduje zastosowanie w najbardziej wymagających projektach budowlanych na świecie – od nowoczesnych domów po duże obiekty przemysłowe.
Technologię tę wybierają inwestorzy oraz producenci budynków energooszczędnych, pasywnych, prefabrykowanych i zrównoważonych, doceniając nie tylko wysoką jakość, ale również:
System TERRAIN SDP charakteryzuje się korzystnym współczynnikiem SDR = 11 (stosunek średnicy zewnętrznej rury do grubości jej ścianki).
Taka proporcja zapewnia:
Film o SDR (Standard Dimension Ratio – stosunek zewnętrznej grubości rury do grubości jej ścianki)
Złączki w systemie TERAIN SDP nie mają istotnych przewężeń, a współczynnik chropowatości K = 0,0015. To sprawia, że przepływ w systemie TERRAIN SDP jest znakomity.
Trajektorią cząstek płynącej wewnątrz rurociągu cieczy jest linia równoległa do osi rury. W takiej sytuacji prędkość płynięcia cząstek zmniejsza się od osi rury, gdzie ma największą wartość, do ścianek, gdzie ta wartość jest zerowa.
W przypadku, gdy trajektoria ta nie jest tak uporządkowana, możemy stwierdzić że ruch cieczy odbywa się w sposób turbulentny. W tym przypadku cząsteczki osiągają największą prędkość w osi rury, najmniejszą, ale nie zerową, przy ściankach.
Czy ciecz zachowuje się tak jak w pierwszym, czy w drugim opisanym przypadku, zależy od czterech czynników:
Trzy pierwsze czynniki są połączone we wzór zwany „liczbą Reynoldsa”:
Dopóki wartość liczby Reynoldsa jest mniejsza niż 2000, możemy mówić o ruchu liniowym, laminarnym. Powyżej tej wartości jest ruch przejściowy, w którym zwiększające się poszczególne wartości zmieniają ruch cząsteczek w ruch turbulentny. Nie ma on konkretnej przypisanej wartości liczby Reynoldsa, gdyż zależy także od chropowatości ścianek rury.
Wewnętrzne powierzchnie rury mają różne nierówności. Z tego powodu przyjmuje się średnią wartość chropowatości, zwaną chropowatością bezwzględną K, mierzoną w mm lub m. Zależność pomiędzy chropowatością bezwzględną, a średnicą rury zwana jest chropowatością względną.
Opory liniowe, pojawiające się podczas płynięcia cieczy, można obliczać na podstawie różnych wzorów, lecz najczęściej wykorzystywanym ze względu na swoją uniwersalność jest wzór Darcy’ego-Weisbacha:
Współczynnik oporu jest funkcją liczby Reynoldsa i chropowatości względnej rury. Można stwierdzić, że liczba Reynoldsa zależy od układu przepływu hydraulicznego (laminarny, turbulentny lub przejściowy) oraz powierzchni ścianki rury (gładka lub chropowata).
Możemy również, na podstawie różnych wzorów, obliczyć współczynnik oporu. Najczęściej wykorzystywanym jest formuła Colebrook’a:
Poniższy wykres obrazuje opór liniowy dla rur PB, przy przyjęciu wartości współczynnika chropowatości równej 0,0015.
Do tej pory zajmowaliśmy się tematyką oporów powstających w rurach, lecz pełna instalacja składa się z wielu innych elementów, takich jak kształtki (np. kolana, redukcje) oraz mechanizmy regulujące (np. zawory). Wszystkie te elementy powodują również powstawanie oporów miejscowych dla cieczy płynącej wewnątrz instalacji.
Ze względu na różnorodność kształtek, zaworów itp. opory miejscowe mogą być określone tylko za pomocą obliczeń. Istnieje wiele wzorów na ich obliczanie, my wykorzystujemy wzór z normy europejskiej prEN806 – 3.
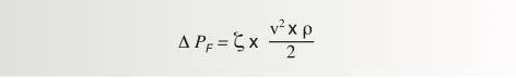
Spadek ciśnienia w kształtkach jest obliczany za pomocą wzoru:
Gdzie współczynnik ζ ma swoją wartość dla odpowiednich elementów armatury, zgodnie z tą tabelą:
Generalną właściwością tworzyw jest wydłużalność pod wpływem temperatury. Przy wzroście temperatury tworzywa wydłużają się, przy spadku – kurczą. Zmiany te charakteryzuje współczynnik termicznej wydłużalności liniowej α. Można go określić ze wzoru:
Wartość współczynnika wydłużalności dla różnych materiałów przedstawia się następująco:
Mając to na uwadze, przy 10-metrowym odcinku rurociągu i wzroście temperatury o 50°C, wydłużalność tych materiałów będzie się prezentować tak:
Przykład obliczenia wydłużeń zgodnie ze wzorem:
Długość rury | L0 = 10 m |
Temperatura pokojowa | Tr = 20°C |
Temperatura projektowana | Tp = 70°C |
Wzrost temperatury | ΔT = 50°C |
Z poniższego wykresu można wyliczyć potencjalne wydłużenia rurociągów PB.
Na poniższym wykresie możemy określić siłę oddziaływania rurociągu pomiędzy dwoma punktami mocowania przy zmianach temperaturowych.
Kolejny wykres prezentuje porównanie wspomnianych sił występujących w trzech różnych tworzywach.
Podczas określania naprężeń bierzemy pod uwagę nie tylko zmiany długości, lecz także moduł elastyczności materiału, z którego wykonany jest rurociąg. Aby obliczyć długość ramienia elastycznego korzystamy ze wzoru:
Zatem w przypadku odcinka 10 metrów rury, o średnicy ø 40 i zmianie temperatury o 50°C, długość ramienia elastycznego dla poszczególnych materiałów powinna wynosić:
Mocowanie przewodów odbywa się za pomocą obejm, lokalizowanych w odpowiednich odległościach.
Maksymalny odcinek (L1) dozwolony pomiędzy obejmami przedstawiono poniżej:
Dla pionów L1 powinien być pomnożony x1.3
Przy wykonywaniu instalacji w systemie Terrain SDP, stosowanie uchwytów systemowych nie jest obligatoryjne.
Podpowiadamy dwa sposoby jak skutecznie wykonać test szczelności instalacji (próbę ciśnieniową).
Sposób 1.
By wykonać test instalacji należy:
Po wykonaniu tych kroków instalacja powinna działać poprawnie.
Sposób 2.
W drugiej wersji testu działamy następująco:
Zapraszamy do obejrzenia naszego filmu o odporności na uderzenia hydrauliczne.
System TERRAIN SDP spełnia wymagania normy UNE EN ISO 15876, określającej parametry dla rur i kształtek z polibutylenu (PB). Norma ta potwierdza możliwość stosowania systemu w instalacjach ciepłej i zimnej wody w budynkach mieszkalnych oraz w przesyle innych mediów użytkowych, pod ciśnieniem i w odpowiednim zakresie temperatur.
Produkcja systemu TERRAIN SDP trwa nieprzerwanie od 1982 roku. W tym czasie firma NUEVA TERRAIN opracowała rygorystyczne standardy kontroli jakości, obejmujące:
Dodatkowo, systematycznie przeprowadzane są testy długoterminowe:
Wszystkie te procedury wykraczają poza minimalne wymagania stawiane przez europejskie instytuty certyfikujące, takie jak AENOR, co gwarantuje niezawodność i trwałość systemu TERRAIN SDP.
Zapraszamy do obejrzenia filmu o produkcji i kontroli jakości.
Historia i rozwój systemu TERRAIN SDP
W latach 70. firma Hüls wprowadziła na rynek nowy materiał – polibutylen (PB), znany też jako Vestolen BT 8000, przeznaczony do przesyłu gorącej wody. Wkrótce potem, niezależnie, firma Whitron opracowała własny wariant PB (Whitron 4121), który – po przejęciu przez firmę Shell i szeregu usprawnień – ewoluował w materiał PB 4237.
Od 1982 roku system Terrain SDP oparty na PB 4237 rozwijany jest jako kompletny system rur i kształtek do instalacji ciepłej i zimnej wody oraz ogrzewania. Obecnie jest to technologia o ugruntowanej pozycji i światowym zasięgu, wspierana przez Międzynarodowe Stowarzyszenie Producentów Polibutylenu.
Czym jest PB 4237?
PB 4237 to nowoczesny termoplast z grupy poliolefin. Łączy w sobie wysoką odporność chemiczną i mechaniczną, niską rozszerzalność cieplną oraz elastyczność nawet w niskich temperaturach, co czyni go wyjątkowo odpowiednim do:
Cechy wyróżniające PB 4237:
Dlaczego PB 4237 to najlepszy wybór dla instalacji wewnętrznych?
Wieloletnie badania wewnętrzne i niezależne testy potwierdzają, że PB 4237 jest najlepszym materiałem do instalacji wody pitnej i grzewczej dzięki:
Dodatkowo, możliwość stosowania cieńszych ścianek rur przekłada się na:
Zastosowanie systemu TERRAIN SDP
Wybór systemu TERRAIN SDP z PB 4237 to:
Kompendium profesjonalnej wiedzy na temat systemu TERRAIN SDP stanowi Instrukcja Techniczna Systemu Nueva Terrain SDP.
W branży instalacji sanitarnych dokonuje się istotna transformacja. Coraz większe znaczenie zyskują systemy, które można montować znacznie szybciej niż tradycyjne rozwiązania – co przekłada się na realne oszczędności oraz skrócenie czasu realizacji inwestycji. Dużą wartość mają też instalacje prefabrykowane, które pozwalają usprawnić cały proces budowlany.
Jako nieodłączny element większości obiektów budowlanych, nowoczesne instalacje muszą być trwałe, niezawodne i objęte solidną gwarancją.
TERRAIN SDP odpowiada na te potrzeby, a dodatkowo spełnia standardy zrównoważonego budownictwa:
jest ekonomicznie uzasadniony,
łatwo dostępny – również przez aplikację znueva
ma minimalny wpływ na środowisko.
Naukowe potwierdzenie: analiza VENOB:
W celu obiektywnej oceny dostępnych technologii, naukowcy z Wydziału Tworzyw Sztucznych Politechniki Berlińskiej zastosowali metodę porównawczą VENOB. Badanie objęło sześć rodzajów instalacji sanitarnych wykonanych z różnych materiałów: miedzi, stali nierdzewnej, PEX, PP-R, PB, PVC-C.
Analiza została przeprowadzona w rzeczywistych warunkach: w 16-piętrowym budynku z instalacją centralnego ogrzewania pod ciśnieniem 4 bar. Uwzględniono cały cykl życia instalacji – od produkcji surowca, przez montaż i eksploatację, aż po utylizację.
Energochłonność i emisje – porównanie materiałów
Pierwszym etapem badania było określenie ilości energii niezbędnej do wyprodukowania 1000 kg rur i kształtek z poszczególnych materiałów.
Dzięki bardzo dobrym właściwościom mechanicznym, instalacje PB-1 wymagają mniejszych średnic, co pozwala ograniczyć zużycie materiału i energii.
Na podstawie tych danych opracowano wykresy:
Całkowite zużycie energii – dla pełnych systemów rurociągowych.
Emisje do powietrza, wody i gleby – w całym cyklu życia instalacji.
Wyniki mówią same za siebie i potwierdzają, że PB-1 (TERRAIN SDP) to wybór przyszłości – zarówno pod względem technicznym, jak i środowiskowym.